Geek Articles
Finally, Some More m4/3 MTF Testing: Are the 40s Fabulous?

It took me a bit longer to get back to m4/3 testing than I expected, but we have an interesting set of primes to look at today, the ‘about 45mm’ group, which includes several 42.5mm and a couple of 45mm lenses. Please don’t get all worked up about that small difference in focal lengths; it’s really not significant. One of the 45mm lenses is a 43.5mm, one of the 42.5mm is a 43mm lens. Plus if you (or your camera) does any distortion correction that may change a bit. Anyway, I really can’t imagine anyone going ‘wait, I need to change my 42.5mm to a 45mm for this shot’, so it seems a reasonable grouping.
For those of you who haven’t read our previous m4/3 tests, I want to emphasize a couple of things. First, we’re testing the lenses with no camera involved; all we’re evaluating is the optics. My interest is in the lenses, and the lenses only. Making lenses for a smaller imaging circle has some distinct theoretical advantages. Whether the lensmakers use those advantages for good and make better lenses, or for evil to cut corners and raise profit margins, well, that interests me quite a bit.
When you take a picture, you’re using the system (the camera and lens each add their limitations). Despite what many self-described experts say, it is very, very rare that just the lens or just the camera limits the output of the system. In practical terms, unless you have a really horrid lens or a 4-megapixel camera, both camera and lens contribute to the final output. (If you have both a horrid lens and a 4-megapixel camera then you don’t need to be reading this.)
One other point: with m4/3 lenses you can’t make broad generalizations about the name on the outside, because that doesn’t necessarily reflect who made the components on the inside. So if a given Olympus or Panasonic lens is superb (many are), don’t take that to mean all that brands lenses are pretty awesome (many aren’t). The name on the outside means “We paid the people who designed the lens, made the different components, and assembled it. Some of them actually get paychecks with our name on them, some don’t, and the ones who did this lens didn’t necessarily do that other lens.”
Let’s Meet Today’s Players
We have several lenses that meet the criteria of being around 45mm primes and being testable on our machine.
- Olympus M. Zuiko Digital 45mm f/1.8
- Olympus M. Zuiko Digital Digital 45mm f/1.2 PRO
- Panasonic Leica DG Macro Elmarit 45mm f/2.8 (8 copies)
- Panasonic Leica DG Noctitron 42.5mm f1.2 ASPH Power OIS
- Panasonic Lumix 42.5mm f1.7 ASPH OIS (6 copies)
- Voigtlander 42.5mm f/0.95 Aspherical
Because some of theses aren’t common renters, I wasn’t able to get a complete set of 10 tested for every model, as noted above.
I think the big question I have today is do they make the name longer because of some inferiority complex? If my theory is correct (it seems to hold for SLR lenses), then a graph of image quality should look like this:

Roger Cicala, 2018
If that holds true, then pretty soon we won’t have to do these tests. We’ll just go ‘that things got five words and six initials in the name, it’s gotta be horrid’.
Olympus M. Zuiko Digital 45mm f/1.8
At $400 this isn’t a cheap lens by any means, but it’s certainly a lot cheaper than some of those we’re looking at. At f/1.8 it’s not the fastest, either, and its seven aperture blades aren’t the most. But it is nice and small; 2.2 inches long and 116 grams in weight, and it does come in your choice of silver or black, so it’s got that going for it.
Olympus M. Zuiko Digital 45mm f/1.2 ED PRO
It’s priced equivalently to three Olympus 45mm f/1.8 lenses ($1200) but you get over three times the weight (410 grams) for your money, so that seems fair. Seriously, this lens is reported to be excellent, with a lot of design care for smooth bokeh, nine aperture blades, and reportedly excellent image quality.
Panasonic Leica DG Macro Elmarit 45mm f/2.8
This lens is probably not fairly compared to the others since it’s a 1:1 macro lens and not a wide-aperture prime, but well, it had to get tested somewhere. It’s a bit pricey at $800, and moderate in size compared to the others. It’s also an older design, and I didn’t expect it to be awesome.
Panasonic Leica DG Noctitron 42.5mm f/1.2 ASPH Power OIS
Of course, this is mainly about the Battle of the f/1.2 lenses, and Panasonic’s f/1.2 entry is the most expensive ($1,400), the heaviest by a hair (425 grams), and a clumsy hood design. But it has the Leica name on it, which means, well, nothing. But it does have the nice 9-blade aperture and the Power OIS system. So while we’ll compare it optically to the Olympus, your choice is probably going to come down to which body you shoot. And because I like to put my preconceived notions out there since they do affect my judgment, I want to not like this lens because it has both the longest name and the pretentious, yet meaningless, Leica badge on the outside; a Marketing Perfecta.
Panasonic Lumix 42.5mm f/1.7 ASPH Power OIS
Of course, if what you’re most interested in is having Power OIS, this gives you that, along with the lowest price of the group ($350) in a nice small package. I always root for the underdog, because, well, I’m cheap. So I’m going into this test hoping this lens will kick serious butt; or at least run with the big dogs.
Voigtlander 42.5mm f/0.95 Aspherical
OK, I stated on the last set of tests that I despise Voigtlander lenses. That’s because they simply can’t be repaired reasonably and parts are not available, so they are basically disposable lenses. But, I have to say, I was markedly impressed by the 25mm Voigtlander’s performance. And this lens provides by far the widest aperture at a middle-of-the-road $800 price tag. You pay a weight penalty because of the metal housing (and if you think a metal housing makes lenses more reliable, come spend a day in our repair shop). But you get a 10-bladed aperture with that. And yes, I’m aware a lot of you won’t consider a manually focusing lens. But some of you will.
MTF TESTS
For this section, please remember that the wide-open MTF is the average of 10 copies unless otherwise noted, taken at the widest aperture. As we’ll show later, MTF will be higher with smaller apertures, so the f/1.2 and f/0.95 lenses are at a disadvantage wide open, while the f/2.8 Macro-Elmarit has a big advantage.
So let’s change the order a bit and start from the smallest aperture to the largest; that should make scrolling up and down easier.
Panasonic Leica DG Macro Elmarit 45mm f/2.8 (8 copies only)
Well, just to get it out of the way, this isn’t a very good performance. MTF is fairly even with only a moderate amount of sagittal – tangential separation, but it’s low. It’s extraordinarily low given this is a f/2.8 lens, and particularly low at the higher frequencies which are where the fine detail lives. That being said, some macro lenses do perform better close up than at distant focus, which is where this test is done. But if you aren’t looking for a macro lens, there’s not much on the MTF chart to recommend this one.

Olaf Optical Testing, 2018
Olympus M. Zuiko Digital 45mm f/1.8
This is a pretty impressive performance at a f/1.8 aperture; in fact, it’s far better at f/1.8 than the Macro was at f/2.8. There’s a bit of sag-tan separation and performance does drop off away from the center, but this is pretty good.

Olaf Optical Testing, 2018
Panasonic Lumix 42.5mm f1.7 ASPH OIS (6 copies)
The smaller Panasonic also does very well. It has a little bit more separation of sagittal and tangential out at the edges of the image but otherwise is nearly identical to the f/1.8 Olympus as far as sharpness goes. I won’t hair-split the slightly wider aperture because m4/3 manufacturers run a bit fast and loose with f/# and I honestly can’t say for sure this is really wider than the f/1.8.

Olaf Optical Testing, 2018
Olympus M. Zuiko Digital 45mm f/1.2 PRO
Remember you’re at much wider aperture now, so we expect a fall-off in MTF compared to the lenses above. The Digital Pro looks quite good for an ultra-wide aperture. It has a good resolution that it maintains across the field and a mild-to-moderate amount of sagittal-tangential separation.

Olaf Optical Testing, 2018
Panasonic Leica DG Noctitron 42.5mm f1.2 ASPH Power OIS
The Panasonic f/1.2 is very similar to the Olympus. The MTF is a tiny bit higher in the center but lower at the edges, but probably not enough of either that you’d notice a difference in an image.

Olaf Optical Testing, 2018
Voigtlander 42.5mm f/0.95 Aspherical
As expected, when we get to mega ultra-wide apertures, resolution falls off. This is a pretty decent performance for a f/0.95 lens, though.

Olaf Optical Testing, 2018
Stop-Down Tests
These are not 10-copy tests; we picked one average copy of the lenses to do stop-downs on.
Voigtlander at f/1.4
This was the first easily measurable stop-down for the Voigt, just to get an idea if it would be similar to the f/1.2 lenses once it was stopped down a bit. The answer is yes, it is. In the middle 1/2 of the image, it’s actually sharper now than any of the others, although it fades quite a bit in the outer 1/3 of the image. Still, it’s nice to know you can get very high resolution in the center if the aperture is stopped down just a bit.

Olaf Optical Testing, 2018
All Lenses at f/2.8
We’ll make side-by-side comparisons of each lens at wide open and f/2.8. Again, these are single copies so that the wide open MTF will be a little different than the averages above.
Olympus M. Zuiko Digital 45mm f/1.8
If your question is ‘how did it get sharper in the center, but softer in the edges when stopped down,’ well, the answer is it didn’t. This can happen when a lens has a lot of field curvature. We’re focused in the center for the MTF test, the field curvature (we’ll show that in a minute) is significant enough that the edges remain out of focus despite being stopped down. I explain in more detail in an addendum, if you’re interested.

Olaf Optical Testing, 2018
Panasonic Lumix 42.5mm f1.7 ASPH OIS
Primarily a similar improvement in the center, but since this lens doesn’t have field curvature, a more predictable result away from the axis.

Olaf Optical Testing, 2018
Olympus M. Zuiko Digital 45mm f/1.2 PRO
Really impressive f/2.8 performance here, and better at f/2.8 than either of the less expensive lenses.

Olaf Optical Testing, 2018
Panasonic Leica DG Noctitron 42.5mm f1.2 ASPH Power OIS
Another impressive improvement, although not quite as sharp in the center as the Olympus. On the other hand, it holds sharpness better in the middle of the field before fading at the edges.

Olaf Optical Testing, 2018
Voigtlander 42.5mm f/0.95 Aspherical
With its ultra-wide aperture, I’m impressed that the Voigtlander can sharpen up comparably to the two f/1.2 lenses. In the outer half of the image, it’s not quite as good, but I think within ‘sample variation’ of the other two.

Olaf Optical Testing, 2018
Field Curvature (MTF vs. Field vs. Focus)
For those of you who don’t read our technical articles very often, the field curvature may be the most useful thing we give you. This is NOT distortion; rather it’s how the plane of best focus curves. The tangential and sagittal fields often curve differently; when they do you know, there will be astigmatism in those areas.
There’s other information you can get from field curvatures and if you’re interested here are some background articles: Fun with Fields of Focus 1, Fun with Fields of Focus II, Field Curvature and Stopping Down. I should mention these are done at f/5.6 because that gives a nice, clear picture of the field. Stopping down (or opening up) doesn’t change the curvature significantly. Keep in mind that when you’re shooting at a wider aperture, though, the field is much narrower.
Also, the fields shown are a single copy, so you’ll see some field tilt. That’s relatively common in these lenses.
Panasonic Leica DG Macro Elmarit 45mm f/2.8 (8 copies)
You’ll notice this field is both tilted and the tangential curve decentered. This is pretty typical for the copies of this lens we tested. It’s theoretically quite flat, which a macro lens should be, but in reality, is generally going to be a bit tilted.

Olaf Optical Testing, 2018
Olympus M. Zuiko Digital 45mm f/1.8
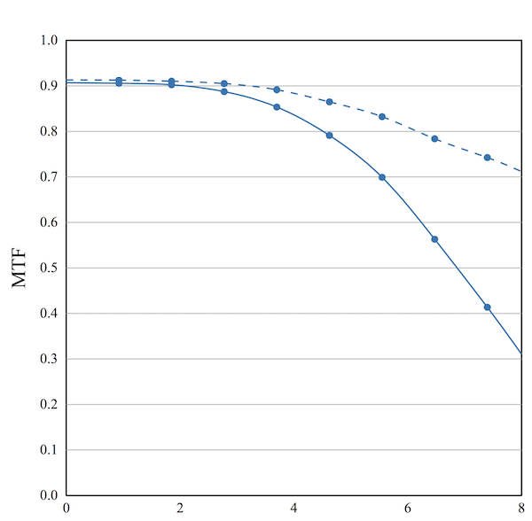
The little Olympus has quite significant U-shaped curvature, and in a photo, you should quickly notice that it’s not going to get everything from side to side in focus, even stopped down. This explains the MTF fall-off at the edges we saw above, even stopped down. Note also that the tangential field curves more than the sagittal, so you’ll always have astigmatism (red area in the difference graph) out at the edges, again, even stopped down.

Olaf Optical Testing, 2018
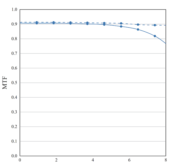
Panasonic Lumix 42.5mm f1.7 ASPH OIS (6 copies)
Now, how about this one for a nice, flat field with little astigmatism? I’ll take it. But you can notice there is a little curve in the sagittal field. Wide open with a narrower depth of field, this does give a little astigmatism, which you can see in the wide-open MTF graphs above. Still, very nice.

Olaf Optical Testing, 2018
Olympus M. Zuiko Digital 45mm f/1.2 PRO (8 copies)
The Olympus Pro is also fairly flat. You can see a bit of inverted “U” in the tangential curvature, and some mild resultant edge astigmatism.

Olaf Optical Testing, 2018
Panasonic Leica DG Noctitron 42.5mm f1.2 ASPH Power OIS
Another slightly tilted and decentered tangential field, but again the field is fairly flat. Notice how in this copy the field tilt results in increased astigmatism on one side of the lens. You might notice this one if you pixel peeped a bit.

Olaf Optical Testing, 2018
Voigtlander 42.5mm f/0.95 Aspherical
The Voigtlander again surprises me. I didn’t expect so flat of a field in such a wider aperture lens.

Olaf Optical Testing, 2018
Copy-to-Copy Variation
Micro 4/3 lenses, in general, have a lot of sample variation. Why this is I can’t say. What I can say is it’s not the fabled “they need to up their QA check” that people imagine happens. Micro 4/3 lenses, as a rule, don’t have any compensating adjustable elements, so what you get at the end of the assembly line is what you get unless something is broken inside.
Because we didn’t have 10 copies of each lens, I was hesitant to use our usual variance numbers and graphs; that system depends on having 10 copies. What it did show, in general terms, was that the Panasonic 45mm f/2.8 Macro has what we consider unacceptable amounts of variance, the other two Panasonics were fairly high. The two Olympus lenses and the Voigtlander were all in the ‘usual’ range for primes.
But I’ll let you judge for yourselves. For each lens below I’ve put thumbnails of our Full Frame MTF map for the first eight copies tested. Remember, with m4/3 you can’t make manufacturer generalizations. One brand looks better at these focal lengths. It is NOT any predictor of how any of the brands will look with lenses of different focal lengths.
Panasonic Leica DG Macro Elmarit 45mm f/2.8 (8 copies)
As I said above, this amount of variance is not OK, but a good copy is pretty good.

Olaf Optical Testing, 2018
Olympus M. Zuiko Digital 45mm f/1.8
There’s obvious variance here, but if you are shooting centered subjects, these would all be good. It’s a good example of a lot of lab variation that probably doesn’t affect pictures very much.

Olaf Optical Testing, 2018
Panasonic Lumix 42.5mm f1.7 ASPH OIS (6 copies)
Yes, you can tell the difference between the better two and the others.

Olaf Optical Testing, 2018
Olympus M. Zuiko Digital 45mm f/1.2 PRO (8 copies)
This one is pretty danged impressive for a f/1.2. The center of sharpness is in the center of the lens pretty much in every copy. A couple aren’t quite as sharp as the others, but that’s the nature of the beast.

Olaf Optical Testing, 2018
Panasonic Leica DG Noctitron 42.5mm f1.2 ASPH Power OIS
Here’s a great example of why we have internet arguments. Two of these eight lenses are better than any of the Olympus Pros; three are worse. Reviewers or photographers who compared one copy of each are probably going to draw different conclusions.

Olaf Optical Testing, 2018
Voigtlander 42.5mm f/0.95 Aspherical
Lower resolution wide open because this is f/0.95. But for this ultra-wide aperture, I have to say this is very reasonable.

Olaf Optical Testing, 2018
So What Did We Learn Today?
Well, I learned that no matter how much I dislike Voigtlander, the company, I sure do admire Voigtlander lenses. The performance of the 42.5mm f/0.95 is spectacular. Of course, you also have to be OK with manually focusing, but still, that’s a lens worth considering.
If you want a f/1.2 lens in this focal length, well, let’s face it, it will probably come down to whether you want Power OIS or not. If you don’t, the Olympus 42.5mm f/1.2 PRO is slightly less expensive and has less variation. But a good copy of the Panasonic 42.5 Noctitron is excellent.
Both of the less expensive lenses in this range deliver a lot of bang for the buck. They have very good image quality, and if you don’t need the widest aperture, they give you a lot for 1/3 the price of the wide-aperture duo. If I were most interested in this focal length for portraits, I’d probably want the Zuiko Digital f/1.8; that field curvature will help throw everything other than the subject out of focus. For landscapes or architectural shooting, the flat field of the Panasonic f/1.7 would be an advantage.
Roger Cicala and Aaron Closz
Lensrentals.com
March 2018
Addendum: Field Curvature and MTF
When we looked at the stop-down curves for the Olympus 45mm f1.8, I mentioned that off-axis the MTF didn’t raise because the field curvature was so significant. This is a discussion of why that is so, even stopped down.
First, let’s look at the field curvature of the lens at 20 lp/mm frequency (the orange lines in the MTF graphs above). Below is the sagittal and then tangential field curvatures. For each, I’ve put a black line across the graph at the center focus position.

Olaf Optical Testing, 2018

Olaf Optical Testing, 2018
If you wanted to mentally read the MTF as you follow the line from center to edge, you’d get curves very similar to the MTF measure above for f/2.8. You should notice that the sagittal field isn’t as curved as the tangential, and therefore the sagittal MTF is higher. But I’ll do that for you below (this is only going to 8mm away from the center, but that’s plenty to make the point).

Olaf Optical Testing, 2018
You might ask the very pertinent question, “The MTF is higher away from the center at a different focus position than best center focus. What if I focus out on the edges”? Well, you’ll get a much sharper image. The lens is very sharp away from the center; it’s just that the sharp area is in a different focus plane. But we can graph the best MTF for each point and get something very different; a graph that shows how sharp the lens could be if you focus off-axis. We call this the BIF graph, for Best Individual Focus.

Olaf Optical Testing, 2018
The BIF isn’t real, though, it’s theoretical. If you focused at that point 5mm away from the center, your image at that point would be very sharp, but then the center of the image would be very soft. So with a lens like this, you can get a sharp portrait, for example, anywhere in the field of view. But you can’t make the image sharp from one side to the other, even stopped down.
Author: Roger Cicala
I’m Roger and I am the founder of Lensrentals.com. Hailed as one of the optic nerds here, I enjoy shooting collimated light through 30X microscope objectives in my spare time. When I do take real pictures I like using something different: a Medium format, or Pentax K1, or a Sony RX1R.
-
Ruairi Winter Johnston
-
mrclean808
-
Justin
-
Bryce Steiner
-
Brian Caldwell
-
Greg Rook
-
DrJon
-
Najinsky
-
Olaf Reinhard Weyer
-
Roger Cicala
-
Scintilla
-
Someone
-
Paul Stuart
-
Roger Cicala
-
Roger Cicala
-
Paul Stuart
-
Justin
-
Roger Cicala
-
Justin
-
Joe
-
Goblin
-
Justin
-
David Bateman
-
Brandon Dube
-
David Bateman
-
Valentin Alexiss
